Glow: Portable Red Light Therapy Device - Slimmest Handheld Solution for On-the-Go Relief
Couldn't load pickup availability
Description
The Glow is the newest handheld red light therapy product from BioLight. It is a sleek, sexy and simple device that lives up to its name!

Compared to the higher-powered Shine handheld device (where the light can feel harsh to the eyes), the Glow emits a much softer, more soothing light that literally relaxes, and feels nourishing to, the eyes and the rest of the body.

Not only that, the Glow is a much simpler red light therapy device. There are no light setting options, so you don't constantly have to think about and consider which lights to use (i.e., should I used red light only? Near-infrared (NIR) light only? Combo?). You simply power on the device and enjoy the soft, calming radiance of red and NIR light.

The Glow is also the slimmest handheld red light therapy device on the market. You can literally stick it in your pocket like a phone, making your on-the-go red light therapy treatments easier and more fashionable than ever before!

Like all handheld BioLight devices, the Glow has zero EMF emission and zero light flicker.

An optional stand can be added at the time of purchase to increase the versatility of the Glow and make handheld treatments truly a treat!

Package Includes
- Glow device
- Silicone protective case
- USB Type C charging cord
- User Manual
- Red Light Therapy Treatment Protocols eBook

Glow Specs
- Dimensions: 6.2" x 3" x 0.53"
- Weight: 0.6 lbs
- Spectrum: 660nm (red) & 850nm (NIR)
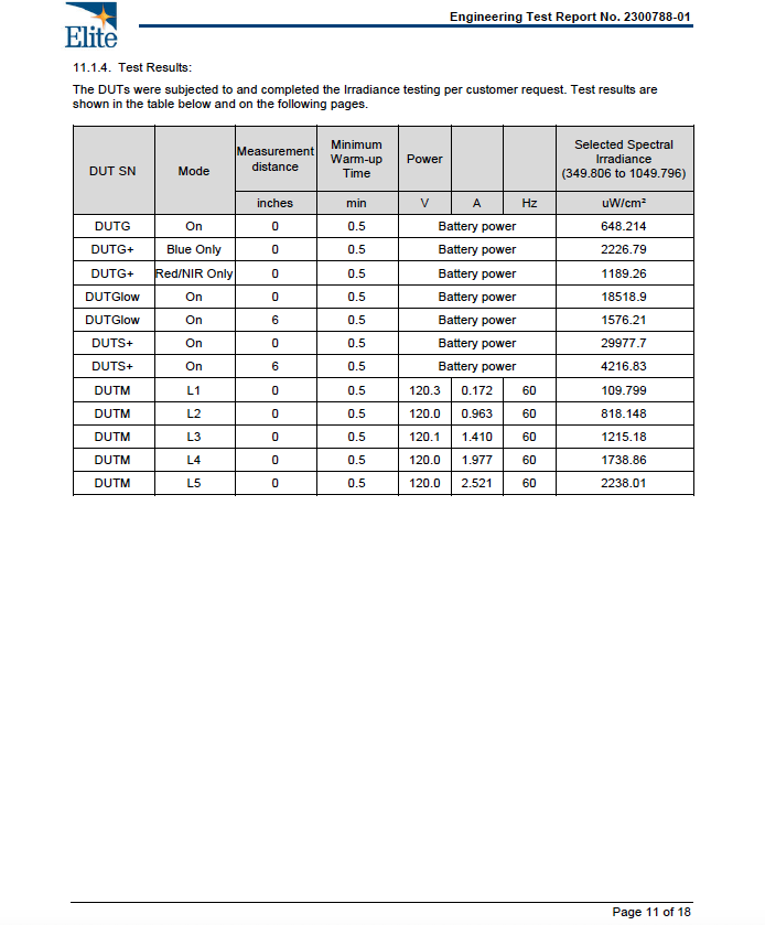
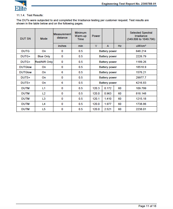
- Light irradiance: 18.5 mW/cm ² @ 0", 1.6 mW/cm ² @ 6"
- EMF Emission: 0.0 µT @ 0” (it can be zero since it powers via an internal battery and not electricity)
- Light flicker: 0 Hz (like EMF emission, it can be zero because it is power via an internal battery)
- Automated 10-minute timer
- Focusing Lens Beam Angle: 90°
- Power: 1W x 18 LEDs
- Battery life: 80 minutes
- Recharging time: 60 minutes
- 60-day trial period
- Limited 3-year warranty
*Due to the very low light irradiance of this device, eye protection is not required

Third Party Test Results






Features
Includes
Specifications
Shipping
F
Glow: Portable Red Light Therapy Device - Slimmest Handheld Solution for On-the-Go Relief
Recently viewed
Wellness Path Studio provides science-backed wellness products and recovery solutions designed to support longevity, balance, and vitality through trusted, premium experiences.